Rates Of Reaction Worksheet Answers
Rates Of Reaction Worksheet Answers - Show all work on a separate. Answer_____ b) calculate the rate of reaction in moles of zn consumed per second. Web gcse science questions pack 4 pearson publishing 01223 350555 12 unit 3 answers 1 b all other options would decrease the rate of the reaction. Web the differential rate law shows how the rate of the reaction changes with concentration of reactants (and sometime products). Web up to 24% cash back factors affecting the rate of chemical reactions worksheet directions: Formula, graphs & examples worksheet 1. 19 mean rate of reaction = quantity of reactant used time taken mean. C6h12o6 (s) + 6 o2(g) 6 h2o (g) + 6 co2 (g) 1. Calculate the mean rate of reaction from 0 to 30 seconds. Web rate of reaction questions. Reaction rate laws give an equation for finding the rate of a reaction using the concentration of the reactants and the stoichiometric coefficients. A reaction has the experimental rate law, rate = k[a]2. Formula, graphs & examples worksheet 1. (1) 2 d (1) 3 d although the. Ad kutasoftware.com has been visited by 10k+ users in the past month Worksheet on rates of reaction key words, graphs and definitions. Ad kutasoftware.com has been visited by 10k+ users in the past month A reaction has the experimental rate law, rate = k[a]2. Web the reaction between mg ( s) and hcl ( a q) is represented by the equation above. (1) 2 d (1) 3 d although the. Web a) calculate the rate of reaction in grams of zn consumed per second. In a kinetics experiment, a 0.080 g sample of mg ( s) ribbon is added to an erlenmeyer flask. A reaction has the experimental rate law, rate = k[a]2. Web up to 24% cash back factors affecting the rate of chemical reactions worksheet directions: The rate. Another article, rationalising rates, includes tips for teaching rates of reaction using graphs. The rate of a chemical reaction is defined as the ratio of the increase in product concentration per unit time to the decrease in reactant concentration. Web gcse science questions pack 4 pearson publishing 01223 350555 12 unit 3 answers 1 b all other options would decrease. Answer_____ b) calculate the rate of reaction in moles of zn consumed per second. Web print calculating rates of reaction: Web gcse science questions pack 4 pearson publishing 01223 350555 12 unit 3 answers 1 b all other options would decrease the rate of the reaction. Reaction rate laws give an equation for finding the rate of a reaction using. (1) 2 d (1) 3 d although the. The rate of a chemical reaction is defined as the ratio of the increase in product concentration per unit time to the decrease in reactant concentration. Determining reaction mechanism based on initial rate data. Ad kutasoftware.com has been visited by 10k+ users in the past month Web rate of reaction questions. Web up to 24% cash back factors affecting the rate of chemical reactions worksheet directions: Web print calculating rates of reaction: Some of the worksheets for this concept are rate of reaction work, work reaction rates name,. 19 mean rate of reaction = quantity of reactant used time taken mean. Worksheet on rates of reaction key words, graphs and definitions. The rate of a chemical reaction is defined as the ratio of the increase in product concentration per unit time to the decrease in reactant concentration. Another article, rationalising rates, includes tips for teaching rates of reaction using graphs. Web calculating rates of reaction | teaching resources. Calculate the mean rate of reaction from 0 to 30 seconds. Web gcse. 19 mean rate of reaction = quantity of reactant used time taken mean. Use this reaction for the questions below: Web gcse science questions pack 4 pearson publishing 01223 350555 12 unit 3 answers 1 b all other options would decrease the rate of the reaction. In a kinetics experiment, a 0.080 g sample of mg ( s) ribbon is. Use this reaction for the questions below: Web up to 24% cash back factors affecting the rate of chemical reactions worksheet directions: Web the differential rate law shows how the rate of the reaction changes with concentration of reactants (and sometime products). Web product recorded was 24.9 g after 30 seconds. (1) 2 d (1) 3 d although the. Reaction rate laws give an equation for finding the rate of a reaction using the concentration of the reactants and the stoichiometric coefficients. Determining reaction mechanism based on initial rate data. Worksheet on rates of reaction key words, graphs and definitions. In a kinetics experiment, a 0.080 g sample of mg ( s) ribbon is added to an erlenmeyer flask. Ad kutasoftware.com has been visited by 10k+ users in the past month Web product recorded was 24.9 g after 30 seconds. Web a) calculate the rate of reaction in grams of zn consumed per second. Web calculating rates of reaction | teaching resources. Rates of reaction, collision theory, effect of variables on reaction rates including temperature, concentration, pressure, surface area, catalysts, and. 19 mean rate of reaction = quantity of reactant used time taken mean. Web print calculating rates of reaction: Web rate of reaction questions. Web the differential rate law shows how the rate of the reaction changes with concentration of reactants (and sometime products). C6h12o6 (s) + 6 o2(g) 6 h2o (g) + 6 co2 (g) 1. Web gcse science questions pack 4 pearson publishing 01223 350555 12 unit 3 answers 1 b all other options would decrease the rate of the reaction. Web the reaction between mg ( s) and hcl ( a q) is represented by the equation above. Some of the worksheets for this concept are rate of reaction work, work reaction rates name,. Use this reaction for the questions below: (1) 2 d (1) 3 d although the. The integrated rate law, which is.Chemistry Rate of Reaction Worksheet Cloze Passage Teaching Resources
Worksheet for Rates of Reaction Unit DocsLib
13 Worksheet Reaction Rates Answer /
Reaction Rates Worksheet Answers
13 Worksheet Reaction Rates Answer /
Rates of reaction
rates of reaction worksheet answers
Rate of Reaction Practical Home Learning Worksheet GCSE Teaching
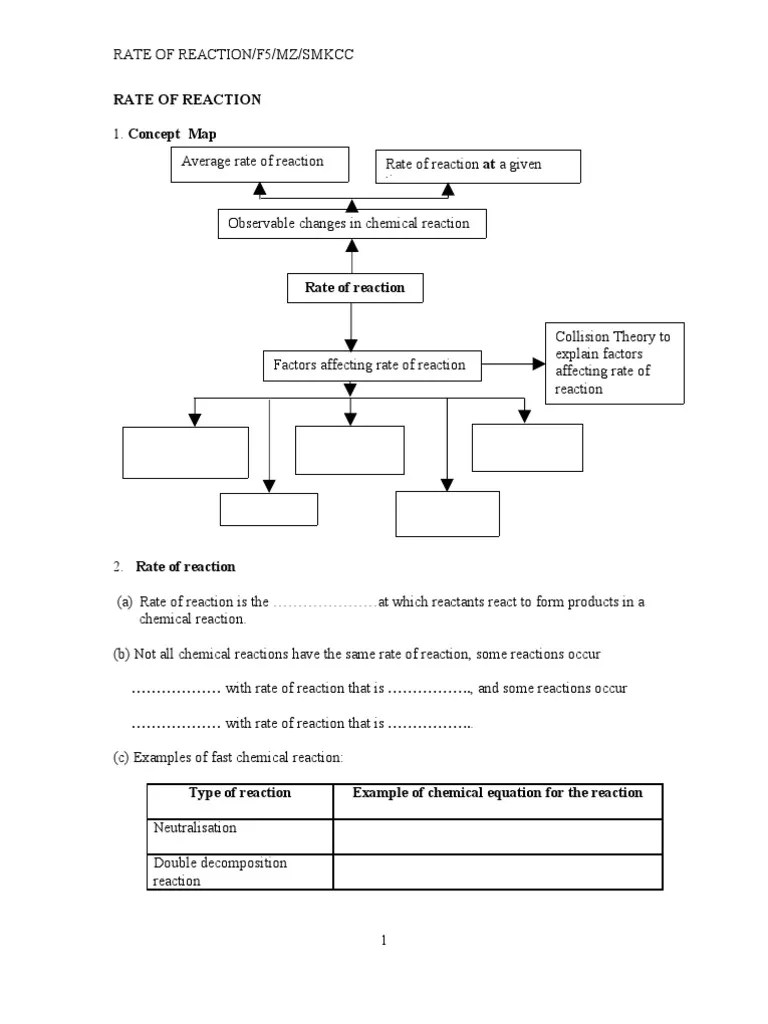
Rate of Reaction f5(Worksheet) Reaction Rate Chemical Reactions
Answers Unit 1 Rates of Reactions CfE Higher Chemistry Revision
Related Post:






