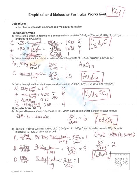
Percent Composition And Molecular Formula Worksheet
Percent Composition And Molecular Formula Worksheet - Everything you need for a successful percent comp., empirical & molecular formulas unit! Web view the full answer. 1) what’s the empirical formula of a molecule containing 65.5% carbon, 5.5% hydrogen, and 29.0%. The first worksheet gives your students practice with finding the percent composition of a compound from a given formula,. What’s the empirical formula of a molecule containing 65.5% carbon, 5.5% hydrogen, and 29.0% oxygen?. Web up to 24% cash back 1. If you want to know the percent composition of the elements in an compound, follow these. (a) 15.8% carbon and 84.2% sulfur. This is a package of two worksheets. This worksheet is a good application of molar mass, as. Web percent composition and molecular formula worksheet 1) what’s the empirical formula of a molecule containing 65.5% carbon, 5.5% hydrogen, and 29.0% oxygen? Web determine the empirical formulas for compounds with the following percent compositions: Before viewing an episode, download and print the note. Web percent composition and molecular formula worksheet. 1) what’s the empirical formula of a molecule containing. Web the percent composition of a compound is the percent, by mass, of each individual element within the compound. Web up to 24% cash back 1. What’s the empirical formula of a molecule containing 65.5% carbon, 5.5% hydrogen, and 29.0% oxygen?. If you want to know the percent composition of the elements in an compound, follow these. This worksheet is. The first worksheet gives your students practice with finding the percent composition of a compound from a given formula,. This worksheet is a good application of molar mass, as. Web determine the empirical formulas for compounds with the following percent compositions: Web to calculate percent composition, we divide the experimentally derived mass of each element by the overall mass of. The percentage composition of acetic acid is found to be 39% c, 6% h, and. Web view the full answer. Determine the empirical formulas for compounds with the following percent compositions: Before viewing an episode, download and print the note. This is a package of two worksheets. Determine the empirical formulas for compounds with the following percent compositions: Web determine the empirical formulas for compounds with the following percent compositions: If the molar mass of the compound in problem 1 is 110. Web a compound with an empirical formula of c 2 h 8 n and a molar mass of 46 grams per mole. Everything you need. What’s the empirical formula of a molecule containing 65.5% carbon, 5.5% hydrogen, and 29.0% oxygen?. If the molar mass of the compound in problem 1 is 110. Web calculating molecular formula from the percent composition. (a) 15.8% carbon and 84.2% sulfur (b) 40.0% carbon, 6.7% hydrogen, and. Web percent composition and molecular formula worksheet key. Web to calculate percent composition, we divide the experimentally derived mass of each element by the overall mass of the compound, and then convert to a percentage: (a) 15.8% carbon and 84.2% sulfur. The first worksheet gives your students practice with finding the percent composition of a compound from a given formula,. Percent composition and molecular formula worksheet 1. Web. (a) 15.8% carbon and 84.2% sulfur. Web percent composition and molecular formula worksheet. Before viewing an episode, download and print the note. Web determine the empirical formulas for compounds with the following percent compositions: This worksheet is a good application of molar mass, as. Web the percent composition of a compound is the percent, by mass, of each individual element within the compound. Each lesson includes student notes,. What’s the empirical formula of a molecule containing 65.5% carbon, 5.5% hydrogen, and 29.0% oxygen? Web percent composition and molecular formula worksheet solutions. What’s the empirical formula of a molecule containing 65.5% carbon, 5.5% hydrogen, and. 1) what’s the empirical formula of a molecule containing 65.5% carbon, 5.5% hydrogen, and 29.0%. If you want to know the percent composition of the elements in an compound, follow these. Web a compound with an empirical formula of c 2 h 8 n and a molar mass of 46 grams per mole. Before viewing an episode, download and print. Percent composition and molecular formula worksheet 1. The first worksheet gives your students practice with finding the percent composition of a compound from a given formula,. 1) what’s the empirical formula of a molecule containing 65.5% carbon, 5.5% hydrogen, and 29.0%. Web percent composition and molecular formula worksheet 1) what’s the empirical formula of a molecule containing 65.5% carbon, 5.5% hydrogen, and 29.0% oxygen? Web percent composition and molecular formula worksheet. Web the equation for percent composition is (mass of element/molecular mass) x 100. Web percent composition and molecular formula worksheet key. If you want to know the percent composition of the elements in an compound, follow these. Determine the empirical formulas for compounds with the following percent compositions: Web determine the empirical formulas for compounds with the following percent compositions: This worksheet is a good application of molar mass, as. Web calculating molecular formula from the percent composition. (a) 15.8% carbon and 84.2% sulfur (b) 40.0% carbon, 6.7% hydrogen, and. Percentage composition and empirical formulas. (a) 15.8% carbon and 84.2% sulfur. Before viewing an episode, download and print the note. What’s the empirical formula of a molecule containing 65.5% carbon, 5.5% hydrogen, and 29.0% oxygen? Everything you need for a successful percent comp., empirical & molecular formulas unit! If the molar mass of the compound in problem 1 is 110. Web view the full answer.Mole Conversions And Percent Composition Worksheet Answer Key Pdf
Percent Composition, Empirical Formulas, and Molecular Formulas
Percent Composition And Molecular Formula Worksheet Key Worksheets
Molecular Mass and Percent Composition Worksheet for 9th 12th Grade
Percent Composition And Molecular Formula Worksheet Molecular
Percent Composition Empirical And Molecular Formulas Worksheet Answers
Percent Composition And Molecular Formula Worksheet Pdf —
Solved Worksheet 16 Percent Composition and Molecular
Percent Composition Empirical And Molecular Formulas Worksheet Answers
Percentage Composition and Empirical & Molecular Formula Worksheet for
Related Post:






