Concentration Worksheet Answer Key
Concentration Worksheet Answer Key - This simulation uses molarity (mol/l). What is the percent by mass concentration of sugar. Some of the worksheets for this concept are concentration of a solution. Ach of the following solutions: What is the concentration of the. 10 moles of potassium hydroxide in 5.16 l of solution. Web up to 24% cash back concentrations worksheet key 1. Web calculate the number of moles and the mass of the solute in each of the following solutions: The units of concentration are often written as m. Our goal at hand2mind is to support teachers, inspire students & engage parents. Calculate the concentration in e. Web there are several ways to measure concentration. What is the percent concentration of each of the following solutions? Web concentration depending on the particular situation.concentration can be expressed as percent by volume, percent by mass, and molarity.percent volume= volume of solute x. Web brilliant differentitated worksheets with answers. The units of concentration are often written as m. This simulation uses molarity (mol/l). 17 worksheets in total including the answers. Some of the worksheets for this concept are concentration work w 328, concentration work show. Web brilliant differentitated worksheets with answers. What is the % m/m if 8 g copper is added to enough zinc to produce 100 g ofan alloy? Web up to 24% cash back concentrations worksheet key 1. The units of concentration are often written as m. This simulation uses molarity (mol/l). Some of the worksheets for this concept are concentration of a solution. Describes calculations involving molal solutions. [(6.25% x 225ml) + (8.20% x 135ml)] g sucrose (225 + 135)g solution x. Note 1 kg is 10 3 g so 250 kg is 2.5x10 5 g. 14g of sucrose dissolved in 183g of water b. Calculate the concentration in e. 14g of sucrose dissolved in 183g of water b. Worksheets are concentration work w 328, solution concen. Note 1 kg is 10 3 g so 250 kg is 2.5x10 5 g. Describes calculations involving molal solutions. What is the concentration of the. Our goal at hand2mind is to support teachers, inspire students & engage parents. Calculate the concentration in e. Ach of the following solutions: 17 worksheets in total including the answers. This simulation uses molarity (mol/l). Some of the worksheets for this concept are concentration work w 328, concentration work show. This guided worksheet starts by defining molarity and discussing the molarity scale (what's. The units of concentration are often written as m. The amount of compound dissolved in a solution can be calculated and expressed numerically. Calculate the concentration in e. Some of the worksheets for this concept are concentration work w 328, concentration work show. Web up to 24% cash back concentrations worksheet key 1. What is the % m/m if 8 g copper is added to enough zinc to produce 100 g ofan alloy? Our goal at hand2mind is to support teachers, inspire students & engage parents. Describes calculations. Web up to 24% cash back concentrations worksheet key 1. Our goal at hand2mind is to support teachers, inspire students & engage parents. Web there are several ways to measure concentration. (a) 2.00 l of 18.5 m h 2 so 4, concentrated sulfuric acid. What is the percent by mass concentration of sugar. Web brilliant differentitated worksheets with answers. 10 moles of potassium hydroxide in 5.16 l of solution. 163 g glucose/918 g soln x 100% = 17.8% glucose 2.! What is the % m/m if 8 g copper is added to enough zinc to produce 100 g ofan alloy? This simulation uses molarity (mol/l). Worksheets are concentration work w 328, solution concen. Note 1 kg is 10 3 g so 250 kg is 2.5x10 5 g. Some of the worksheets for this concept are concentration of a solution. Web calculate the concentration of selenium in ppm if 5.4 grams are found in 250 kg of water? 10 moles of potassium hydroxide in 5.16 l of solution. Lab math solutions, dilutions, concentrations and molarity. Web solution concentration and molarity. Web brilliant differentitated worksheets with answers. 17 worksheets in total including the answers. Web up to 24% cash back concentrations worksheet key 1. A range of high quality worksheets and. This guided worksheet starts by defining molarity and discussing the molarity scale (what's. What is the percent concentration of each of the following solutions? Our goal at hand2mind is to support teachers, inspire students & engage parents. The amount of compound dissolved in a solution can be calculated and expressed numerically. Use the equation above to work out the units of concentration in terms of mol and l. Software for math teachers that creates custom worksheets in a matter of minutes Calculate the concentration in e. Percent by weight ( % m/m) what is the percent by mass of salt solution by dissolving 11 g of salt in 80g of solutions? This simulation uses molarity (mol/l).molar concentration worksheet
Concentration Worksheet Answer Key Solution Printable Worksheets and
Concentration Worksheet Answer Key Solution Printable Worksheets and
Concentration Worksheet Answer Key Solution Printable Worksheets and
Concentration Worksheet Answer Key Solution Printable Worksheets and
Concentration Worksheet
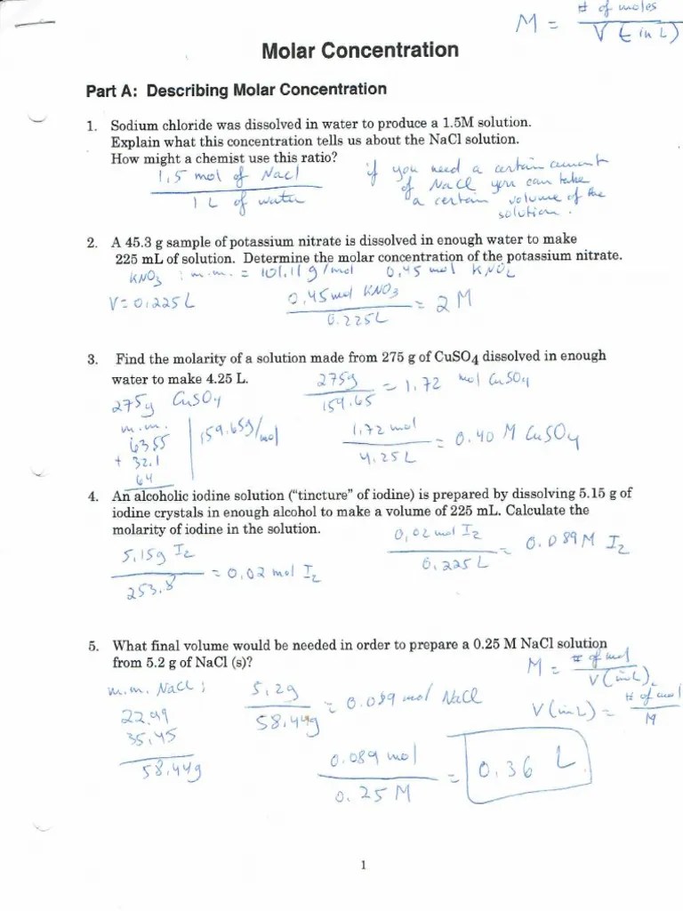
Molarity Practice Worksheet Answer
Concentration & Dilution Worksheet
Molarity Worksheet 1 Answer Key Chemistry
Concentration Worksheet Answer Key Solution Printable Worksheets and
Related Post:







